My title       My title
欢迎访问珠海水信生物科技有限公司官网!专业化妆品OEM/ODM生产化妆品厂家

化妆品厂家加工热线:樊经理(微信同号)

              13697730008


微信在线
13697730008

咨询电话



水信生物

水信生物

新品爆款

更多>>
化妆品厂家资讯
当前位置: 首页> 化妆品厂家资讯
  • ·化妆品加工生产公司:抗氧化成分,关于艾地苯[水信生物]
    化妆品代加工资讯 2021-07-13

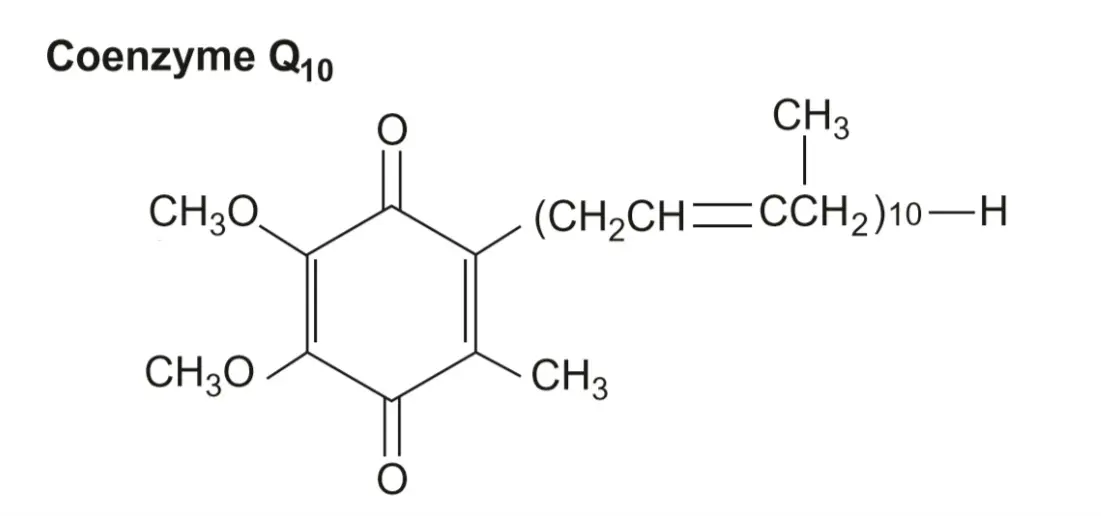
    说到艾地苯(也叫艾地苯醌),就不得不说到辅酶Q10,辅酶Q10是一种天然的亲脂类抗氧化剂,在1982年就被首次应用在化妆品中,具有清·除自由基,抑制皮肤脂质过氧化,延缓皮肤衰老的作用。3抑制炎症;4抑制光损伤;

  • ·代工化妆品厂家:宝藏抗氧化成分—辅酶Q10[水信生物]
    化妆品代加工资讯 2021-07-13

    抗氧化究竟“抗”的是什幺?常见抗氧化成分有哪些?作为一种天然存在于人体中的成分,辅酶Q10能及时清·除自由基,保护皮肤免受阳光的伤害和自由基的破坏,从而减少皮肤的胶原蛋白降解并阻止光老化引起的损害。

  • ·化妆品加工厂家:麦角硫因,来自蘑菇的抗衰力量[水信生物]
    化妆品代加工资讯 2021-07-13

    近些年,随着人们保养意识的加强和对产品功能性的重视产品成分成为大家衡量护肤品好坏的重要准则,而说到抗氧化,想必大家闭眼都能数出好多种成分,比如熟知的VC、VE、茶多酚、辅酶Q10、虾青素和富勒烯等等。

  • ·护肤品oem生产厂家:自由基会引发什么肌肤问题?[水信生物]
    化妆品代加工资讯 2021-07-13

    现实生活中,人们往往把肌肤的老化归咎于年龄的增长,其实也不尽然,自由基才是肌肤衰老的真正元凶。自由基还造成胶原蛋白的损伤和透明质酸的流失,使皮肤吸水和保湿能力受损,干燥和细纹也随之产生。

  • ·护肤品加工公司:植物活性成分,千日菊提取物[水信生物]
    化妆品代加工资讯 2021-07-13

    随着皮肤的老化,真皮层的主体框架变得松弛,导致细胞活力减弱、成纤维细胞功能改变、胶原蛋白的减少,使皮肤失去弹性,皱纹加深,加速衰老,因此抗衰老蕞引人关注的问题之一。 抗皱:迅速减少脸部和颈部的皱纹。

  • ·护肤品品牌加工厂家:灵芝美容护肤篇[水信生物]
    化妆品代加工资讯 2021-07-13

    说起灵芝,在我们的印象中,它一直是作为极佳的养生保健品,占据着中国古代传统中药材的高端领域地位。随着消费者对健康和中·草药的重视,灵芝将变得更加重要,护肤品品牌加工厂家可以将其注入到精华液和乳霜中。

  • ·oem护肤品加工厂家:多肽,抗衰家族中的佼佼者[水信生物]
    化妆品代加工资讯 2021-07-13

    近几年,多肽作为一种新的成分,越来越多的出现在各类护肤品之中,它被广泛认为有助于阻止胶原蛋白的流失和促进其形成,作为抗氧化、抗衰界的扛把子,多肽实际上做了什幺?九胜肽——光感美白;

  • ·婴幼儿护肤品代加工,滋润霍霍巴油[水信生物]
    化妆品代加工资讯 2021-07-13

    用0.08%的SLS(未添加P.E.)刺激皮肤,皮肤的平均敏感程度为0.44,而添加了3%的P.E.后,皮肤的平均敏感程度降至0.12,与空白对照蒸馏水的反应程度相同,由此可见3%的马齿苋提取物可以有效减少由SLS引起的刺激性。

美国和欧盟认证GMPC化妆品厂家
通过欧盟GMPC质量体系认证,具备良好生产规范。

通过欧盟ISO22716化妆品生产规范体系认证。

通过工商税务局、化妆品生产许可证,具备完整的化妆品OEM/ODM生产资质。



自动化化妆品灌装设备◀◀◀
6条生产线 产能:70万/天 面膜oem80万/天

自有的全自动灌装机及配套设备
10000平方米厂房,日产化妆品70万瓶/天,面膜oem80万贴/天


免费打样 备案 策划 产品结构指导◀◀◀
功效显著 7-15天快速交货


▶▶▶专业的化妆品研发专家团队
17年化妆品配方师经验,功效显著


化妆品厂家实力>品质保证

————— 一万级械字号车间,十万级妆字号车间,中国化妆品行业100强企业 —————

资讯中心

更多>>
  • 化妆品代加工
  • 水信动态
  • 行业新闻
  • ·品牌商挑选化妆品OEM厂家需要注意什么[水信生物]

    现在化妆品行业发展逐渐变好,很多人想投资化妆品创立品牌自己销售,化妆品OEM可以有效解决品牌商生产难题,将投资风险降低,从而提高品牌商市场竞争力。建议可亲自到厂家进行实地考察,珠海水信生物欢迎您莅临。

常见问题解答

更多>>

您的需求

请留下您的需求,我们会尽快联系您
* 电话:
* 姓名:
邮箱:
* 您的需求:
提交

友情链接: 

var _hmt = _hmt || []; (function() { var hm = document.createElement("script"); hm.src = "https://hm.baidu.com/hm.js?e036e1e1559ba0e5790670fa667e0233"; var s = document.getElementsByTagName("script")[0]; s.parentNode.insertBefore(hm, s); })();