My title       My title
欢迎访问珠海水信生物科技有限公司官网!专业化妆品OEM/ODM生产化妆品厂家

化妆品厂家加工热线:樊经理(微信同号)

              13697730008


微信在线
13697730008

咨询电话



水信生物

水信生物

新品爆款

更多>>
化妆品厂家资讯
当前位置: 首页> 化妆品厂家资讯
  • ·化妆品加工厂家:辅酶Q10的功效第3个更吸引人[水信生物]
    化妆品代加工资讯 2021-06-07

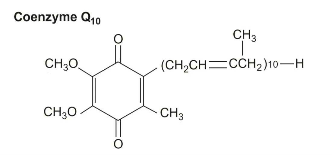
    辅酶Q10,是一种脂溶性抗氧化剂,也是人类生命不可缺少的重要元素之一,能激·活人体细胞和细胞能量的营养,具有提高人体免疫·力、增强抗氧化和增强人体活力等功能,在药品和保健品中被广泛应用。

  • ·oem护肤品加工:神奇的护肤成分辅酶Q10[水信生物]
    化妆品代加工资讯 2021-06-07

    随着功能性护肤品需求的增加,成分党也因此应运而生,并且不断壮大,备受oem护肤品加工厂家和消费者的青睐的成分有烟酰胺、玻尿酸、神经酰胺等等。此外,辅酶Q10还能预防紫外线对皮肤造成的光损伤。

  • ·化妆品oem代工厂家,骨髓间充质干细胞[水信生物]
    化妆品代加工资讯 2021-06-07

    在临床,通常要应用药品(如粒细胞集落刺激因子)将骨髓中的造血干细胞动员到外周血中,才能在外周血中提取数量比较充足的造血干细胞,用于造血干细胞移植,诊治白血病。

  • ·面膜贴代加工,干细胞按发育阶段划分[水信生物]
    面膜OEM资讯 2021-06-06

    面膜贴代加工,珠海水信生物科技有限公司关于干细胞按发育阶段划分胚胎干细胞:胚胎干细胞z早是从小鼠胚胎中分离,后来在人类胚胎中也成功分离出来。因此,造血干细胞移植被用于诊治白血病或免疫缺陷疾病。

  • ·​护肤品oem厂家,人工制备的干细胞[水信生物]
    化妆品代加工资讯 2021-06-06

    护肤品oem厂家,珠海水信生物科技有限公司关于人工制备的干细胞上文给大家介绍了干细胞的分类,相信大家会有系统的了解。目前单倍体胚胎干细胞主要用于科学研究,尚未进入临床应用。

  • ·想加工化妆品,干细胞按分化潜能划分[水信生物]
    化妆品代加工资讯 2021-06-06

    想加工化妆品,珠海水信生物科技有限公司关于干细胞按分化潜能划分全能干细胞:全能干细胞,即胚胎干细胞,在子宫中能发育为完整的个体。所以,间充质干细胞是应用前景z广泛的干细胞类型。

  • ·化妆品生产,你所不知道的卵巢的秘密[水信生物]
    化妆品代加工资讯 2021-06-06

    干细胞守护女性的美丽与健康化妆品生产,女性更年期,是人体内重要调控激溸——雄激溸(睾酮)和雌激溸(孕激溸、雌二醇等)的水平发生变化,引起人体生理功能、体貌、精神状态等发生变化的一段特殊时期。

美国和欧盟认证GMPC化妆品厂家
通过欧盟GMPC质量体系认证,具备良好生产规范。

通过欧盟ISO22716化妆品生产规范体系认证。

通过工商税务局、化妆品生产许可证,具备完整的化妆品OEM/ODM生产资质。



自动化化妆品灌装设备◀◀◀
6条生产线 产能:70万/天 面膜oem80万/天

自有的全自动灌装机及配套设备
10000平方米厂房,日产化妆品70万瓶/天,面膜oem80万贴/天


免费打样 备案 策划 产品结构指导◀◀◀
功效显著 7-15天快速交货


▶▶▶专业的化妆品研发专家团队
17年化妆品配方师经验,功效显著


化妆品厂家实力>品质保证

————— 一万级械字号车间,十万级妆字号车间,中国化妆品行业100强企业 —————

资讯中心

更多>>
  • 化妆品代加工
  • 水信动态
  • 行业新闻
  • ·品牌商挑选化妆品OEM厂家需要注意什么[水信生物]

    现在化妆品行业发展逐渐变好,很多人想投资化妆品创立品牌自己销售,化妆品OEM可以有效解决品牌商生产难题,将投资风险降低,从而提高品牌商市场竞争力。建议可亲自到厂家进行实地考察,珠海水信生物欢迎您莅临。

常见问题解答

更多>>

您的需求

请留下您的需求,我们会尽快联系您
* 电话:
* 姓名:
邮箱:
* 您的需求:
提交

友情链接: 

var _hmt = _hmt || []; (function() { var hm = document.createElement("script"); hm.src = "https://hm.baidu.com/hm.js?e036e1e1559ba0e5790670fa667e0233"; var s = document.getElementsByTagName("script")[0]; s.parentNode.insertBefore(hm, s); })();